一个人在18年间毒死21名同事是什么体验?这世界上最能回答这个问题的,恐怕就是56岁的德国男子克劳斯⋅奥(Klaus O)。
美国福克斯新闻29日援引德国《图片报》称,克劳斯⋅奥今年5月被警方逮捕,因监控录像拍摄下他向一名同事的午餐盒内投放可疑粉末的画面。而事情远没有这么简单,因为警方还怀疑他在过去18年内共毒害了21名同事,并于周三(27日)展开调查。


“一开始我们觉得这只是同事之间的一个恶作剧,而不是谋杀。”该男子所在公司的经理Tilo Blechinger表示。
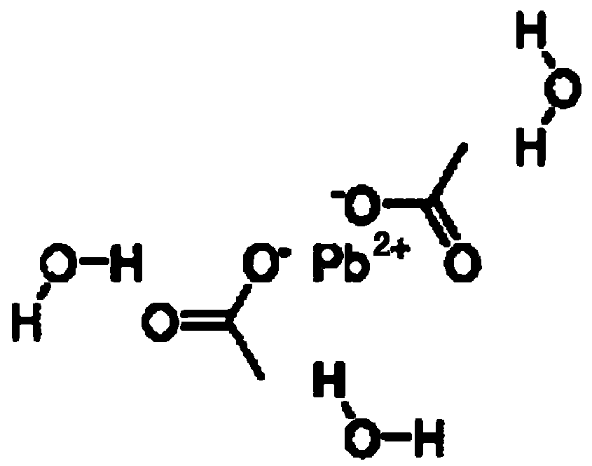
而谁能想到,事情的发展远远超出了恶作剧范畴。因为比勒费尔德警方经检测发现,食物上的白色粉末为剧毒醋酸铅,而克劳斯⋅奥投放的剂量足以导致严重的器官损害。警方在搜查其住所后,还发现了更多危险物质。


据警方消息,克劳斯⋅奥所在的公司自2000年来共有21名员工死亡,其中大部分死于 “心脏病和癌症”。目前该公司有3名工人也被认为“重金属中毒”,还有1名员工在过去的两年里一直处于昏迷状态。
德国《莱茵邮报》28日的报道透露,克劳斯⋅奥已为该公司工作了近40年。据警方调查,该男子的邻居和同事称他“十分不起眼”、“很沉默寡言”,但却“偶尔比较暴躁”。而至于克劳斯⋅奥为何连连投毒?报道表示,由于嫌疑人被捕后一直保持沉默,他的律师也没有提供更进一步的细节,所以动机尚不清楚。
一名与克劳斯⋅奥共事了30年的男子则称,他在3个月前突然出现肾脏衰竭情况,而医生也无法解释其病重的原因。这名56岁的男子还说,克劳斯⋅奥是一个和他工作关系很近的同事,但他确实对他一无所知。“他总是一个人呆着,不说话,也没有朋友”。
此外,波恩大学毒物信息中心的发言人认为这是个“很不寻常的案例”,铅中毒很难被发现,因为其症状也可能由其他情况引起。
目前,德国有关部门正考虑验尸来调查取证。
不过,在警方27日召开新闻发布会宣布对这“21起潜在谋杀案”展开调查后,克劳斯⋅奥的律师翰宁⋅扬森对此表示很愤怒。《莱茵邮报》报道称,扬森说,警方应中立地展开调查,而不是发表一份含糊不清的调查报告。“如果最后得出结论,事实果真如此的话,才可以公布。”扬森还批评警方公布如此“恐怖报告”的行为“非常卑鄙”。
看了这个新闻,不少中国网友说“好怕怕”:



